বহুপদ দশম শ্ৰেণী
| বহুপদ | |
| বিষয় (Subject) | গণিত (Mathematics) |
| কিতাপখনৰ নাম | সাধাৰণ গণিত |
| পাঠৰ নাম | বহুপদ |
| শ্ৰেণী (Class) | দশম শ্ৰেণীৰ গণিত (X) |
| অধ্যায় (Chapter) | অধ্যায় 2 |
| অনুশীলনী | 2.1, 2.2, 2.3 |
| পাঠ্যক্ৰম (Syllabus) | ছেবা (SEBA) |
দশম শ্ৰেণীৰ গণিত বহুপদ
1. কিছুমান বহুপদ p(x)অৰ ক্ষেত্ৰত y=p(x) ৰ লেখবোৰ তলৰ চিত্ৰত দিয়া আছে। প্ৰতিটো ক্ষেত্ৰত p(x)ৰ শূণ্য সংখ্যা উলিওৱা।

সমাধানসমূহ:
শূন্য বিচাৰিবলৈ গ্ৰাফিকেল পদ্ধতি:-
যিকোনো বহুপদ সমীকৰণত মুঠ শূন্যৰ সংখ্যা = বক্ৰই x-অক্ষক ছেদ কৰাৰ মুঠ সংখ্যা।
(i) প্ৰদত্ত লেখত, p(x)ৰ শূন্যৰ সংখ্যা 0 হয় কিয়নো গ্ৰাফটো x-অক্ষৰ সমান্তৰাল হয় আৰু ইয়াক কোনো সময়তে কাটি নিদিয়ে।
(ii) প্ৰদত্ত লেখত, p(x)ৰ শূন্যৰ সংখ্যা হৈছে 1 কিয়নো গ্ৰাফে কেৱল এটা বিন্দুত x-অক্ষক ছেদ কৰে।
(iii) প্ৰদত্ত লেখত, p(x)ৰ শূন্যৰ সংখ্যা 3 হয় কিয়নো গ্ৰাফে যিকোনো তিনিটা বিন্দুত x-অক্ষক ছেদ কৰে।
(iv) প্ৰদত্ত লেখত, p(x)ৰ শূন্যৰ সংখ্যা 2 হয় কিয়নো গ্ৰাফে x-অক্ষক দুটা বিন্দুত ছেদ কৰে।
(v) প্ৰদত্ত লেখত, p(x)ৰ শূন্যৰ সংখ্যা 4 হয় কিয়নো গ্ৰাফে x-অক্ষক চাৰিটা বিন্দুত ছেদ কৰে।
(vi) প্ৰদত্ত লেখত, p(x)ৰ শূন্যৰ সংখ্যা 3 হয় কিয়নো গ্ৰাফে x-অক্ষক তিনিটা বিন্দুত ছেদ কৰে।
Also Read: Class 10 Maths Chapter 1 Assamese Medium
বহুপদ class 10
Exercise 2.2
1. তলৰ দ্বিঘাত বহুপদবোৰৰ শূণ্য উলিওৱা আৰু এই সুনীবোৰ আৰু সহগবোৰৰ মাজত সম্পৰ্ক সত্যাপন কৰা।
সমাধানসমূহ:
(i) x2–2x –8
⇒x2– 4x+2x–8
= x(x–4)+2(x–4)
= (x-4)(x+2)
সেয়েহে, বহুপদ সমীকৰণৰ শূন্যবোৰ হৈছে (4, -2)
শূন্যৰ যোগফল= 4–2 = 2 =-(-2)/1 (x ৰ সহগ/x² ৰ সহগ)
শূণ্যৰ পুৰণফল = 4×(-2) = -8 =-(8)/1 ধ্ৰুৱক/x² ৰ সহগ
(ii) 4s2–4s+1
⇒4s2–2s–2s+1
= 2s(2s–1)–1(2s-1)
= (2s–1)(2s–1)
সেয়েহে, বহুপদ সমীকৰণৰ শূন্যবোৰ হৈছে (1/2, 1/2)
শূন্যৰ যোগফল= (½)+(1/2) = 1 = -4/4 = (x ৰ সহগ/x² ৰ সহগ)
শূণ্যৰ পুৰণফল= (1/2)×(1/2) = 1/4 = ধ্ৰুৱক/x² ৰ সহগ
(iii) 6x2–3–7x
⇒6x2–7x–3 = 6x2 – 9x + 2x – 3
= 3x(2x – 3) +1(2x – 3)
= (3x+1)(2x-3)
সেয়েহে, বহুপদ সমীকৰণৰ শূন্যবোৰ হৈছে (-1/3, 3/2)
শূন্যৰ যোগফল= -(1/3)+(3/2) = (7/6) = (x ৰ সহগ/x² ৰ সহগ)
শূণ্যৰ পুৰণফল = -(1/3)×(3/2) = -(3/6) = ধ্ৰুৱক/x² ৰ সহগ
(iv) 4u2+8u
⇒ 4u(u+2)
বহুপদ সমীকৰণৰ শূন্যবোৰ হৈছে (0, -2).
শূন্যৰ যোগফল = 0+(-2) = -2 = -(8/4) = (x ৰ সহগ/x² ৰ সহগ)
শূণ্যৰ পুৰণফল = 0×-2 = 0 = 0/4 = ধ্ৰুৱক/x² ৰ সহগ
(v) t2–15
⇒ t2 = 15 or t = ±√15
বহুপদ সমীকৰণৰ শূন্যবোৰ হৈছে (√15, -√15)
শূন্যৰ যোগফল =√15+(-√15) = 0= -(0/1)= (x ৰ সহগ/x² ৰ সহগ)
শূণ্যৰ পুৰণফল = √15×(-√15) = -15 = -15/1 = ধ্ৰুৱক/x² ৰ সহগ
(vi) 3x2–x–4
⇒ 3x2–4x+3x–4
= x(3x-4)+1(3x-4)
= (3x – 4)(x + 1)
বহুপদ সমীকৰণৰ শূন্যবোৰ হৈছে (4/3, -1)
শূন্যৰ যোগফল = (4/3)+(-1) = (1/3)= -(-1/3) = (x ৰ সহগ/x² ৰ সহগ)
শূণ্যৰ পুৰণফল=(4/3)×(-1) = (-4/3) = ধ্ৰুৱক/x² ৰ সহগ
বহুপদ দশম শ্ৰেণী
2. তলৰ যোৰকেইটা সংখ্যা দুটাক ক্ৰমে শূন্যবোৰৰ সমষ্টি আৰু গুণফল হিচাপে ধৰি প্ৰত্যেকৰ ক্ষেত্ৰত একোটা দ্বিঘাত বহুপদ নিৰ্ণয় কৰা।
(i) 1/4 , -1
সমাধান:
আমি জানো,
শূন্যৰ সমষ্টি = α+β = 1/4
শূন্যৰ গুণফল = α β = -1
∴ যদি α আৰু β যিকোনো দ্বিঘাত বহুপদৰ শূন্য হয়, তেন্তে দ্বিঘাত বহুপদ সমীকৰণটো পোনপটীয়াকৈ এনেদৰে লিখিব পাৰি:-
x2–(α+β)x +αβ = 0
x2–(1/4)x +(-1) = 0
4x2–x-4 = 0
দ্বিঘাত বহুপদ সমীকৰণটো 4x2–x-4 = 0
(ii)√2, 1/3
আমি জানো,
শূন্যৰ সমষ্টি = α + β =√2
শূন্যৰ গুণফল = α β = 1/3
∴ যদি α আৰু β যিকোনো দ্বিঘাত বহুপদৰ শূন্য হয়, তেন্তে দ্বিঘাত বহুপদ সমীকৰণটো পোনপটীয়াকৈ এনেদৰে লিখিব পাৰি:-
x2–(α+β)x +αβ = 0
x2 –(√2)x + (1/3) = 0
3x2-3√2x+1 = 0
দ্বিঘাত বহুপদ সমীকৰণটো 3x2-3√2x+1 = 0
(iii) 0, √5
আমি জানো,
শূন্যৰ সমষ্টি = α+β = 0
শূন্যৰ গুণফল = α β = √5
∴ যদি α আৰু β যিকোনো দ্বিঘাত বহুপদৰ শূন্য হয়, তেন্তে দ্বিঘাত বহুপদ সমীকৰণটো পোনপটীয়াকৈ এনেদৰে লিখিব পাৰি:-
x2–(α+β)x +αβ = 0
x2–(0)x +√5= 0
দ্বিঘাত বহুপদ সমীকৰণটো x2–(0)x +√5= 0
(iv) 1, 1
আমি জানো,
শূন্যৰ সমষ্টি = α+β = 1
শূন্যৰ গুণফল = α β = 1
∴ যদি α আৰু β যিকোনো দ্বিঘাত বহুপদৰ শূন্য হয়, তেন্তে দ্বিঘাত বহুপদ সমীকৰণটো পোনপটীয়াকৈ এনেদৰে লিখিব পাৰি:-
x2–(α+β)x +αβ = 0
x2–x+1 = 0
দ্বিঘাত বহুপদ সমীকৰণটো x2–x+1 = 0
(v) -1/4, 1/4
আমি জানো,
শূন্যৰ সমষ্টি = α+β = -1/4
শূন্যৰ গুণফল = α β = 1/4
∴ যদি α আৰু β যিকোনো দ্বিঘাত বহুপদৰ শূন্য হয়, তেন্তে দ্বিঘাত বহুপদ সমীকৰণটো পোনপটীয়াকৈ এনেদৰে লিখিব পাৰি:-
x2–(α+β)x +αβ = 0
x2–(-1/4)x +(1/4) = 0
4x2+x+1 = 0
দ্বিঘাত বহুপদ সমীকৰণটো 4x2+x+1 = 0
(vi) 4, 1
আমি জানো,
শূন্যৰ সমষ্টি = α+β = 4
শূন্যৰ গুণফল = αβ = 1
∴ যদি α আৰু β যিকোনো দ্বিঘাত বহুপদৰ শূন্য হয়, তেন্তে দ্বিঘাত বহুপদ সমীকৰণটো পোনপটীয়াকৈ এনেদৰে লিখিব পাৰি:-
x2–(α+β)x+αβ = 0
x2–4x+1 = 0
দ্বিঘাত বহুপদ সমীকৰণটো x2–4x+1 = 0
দশম শ্ৰেণীৰ গণিত বহুপদ
Exercise 2.3
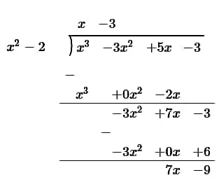
1. P(x) বহুপদটোক g(x) বহুপদটোয়ে হৰণ কৰা আৰু প্ৰতিটোৰে ক্ষেত্ৰত ভাগফল আৰু ভাগশেষ নিৰ্ণয় কৰা:
(i) p(x) = x3-3x2+5x–3 , g(x) = x2–2
সমাধান:
দিয়া আছে,
ভাজক= p(x) = x3-3x2+5x–3
ভাজ্য= g(x) = x2– 2

ভাগফল =x–3
ভাগশেষ = 7x–9
(ii) p(x) = x4-3x2+4x+5 , g(x) = x2+1-x
সমাধান:
দিয়া আছে,
ভাজক= p(x) = x4 – 3x2 + 4x +5
ভাজ্য= g(x) = x2 +1-x

ভাগফল =x2 + x–3
ভাগশেষ = 8
(iii) p(x) =x4–5x+6, g(x) = 2–x2
সমাধান:
দিয়া আছে,
ভাজক= p(x) =x4 – 5x + 6 = x4 +0x2–5x+6
ভাজ্য= g(x) = 2–x2 = –x2+2

ভাগফল =-x2-2
ভাগশেষ = -5x + 10
দশম শ্ৰেণীৰ গণিত বহুপদ
2. দ্বিতীয় বহুপদটোক প্ৰথম বহুপদেৰে হৰণ কৰি প্ৰথম বহুপদটো দ্বিতীয় বহুপটোৰ এটা উৎপাদক হয়নে নহয় পৰীক্ষা কৰা।
(i) t2-3, 2t4 +3t3-2t2-9t-12
সমাধান:
দিয়া আছে,
প্ৰথম বহুপদ=t2-3
দ্বিতীয় বহুপদ= 2t4 +3t3-2t2 -9t-12

যিহেতু আমি ইয়াত ভাগশেষ শূণ্য পাইছোঁ গতিকে প্ৰথম বহুপদটো দ্বিতীয় বহুপদটোৰ এটা উৎপাদক হয়।
(ii) x2+3x+1 , 3x4+5x3-7x2+2x+2
সমাধান:
দিয়া আছে,
প্ৰথম বহুপদ= x2+3x+1
দ্বিতীয় বহুপদ= 3x4+5x3-7x2+2x+2

যিহেতু আমি ইয়াত ভাগশেষ শূণ্য পাইছোঁ গতিকে প্ৰথম বহুপদটো দ্বিতীয় বহুপদটোৰ এটা উৎপাদক হয়।
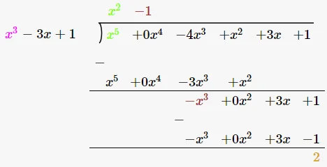
(iii) x3-3x+1, x5-4x3+x2+3x+1
সমাধান:
দিয়া আছে,
প্ৰথম বহুপদ= x3-3x+1
দ্বিতীয় বহুপদ= x5-4x3+x2+3x+1

যিহেতু ইয়াত ভাগশেষ শূণ্য নহয় গতিকে প্ৰথম বহুপদটো দ্বিতীয় বহুপদটোৰ এটা উৎপাদক নহয়।
দশম শ্ৰেণীৰ গণিত বহুপদ
3. যদি দুটা শূন্য √(5/3) আৰু – √(5/3), তেন্তে 3x4+6x3-2x2-10x-5 ৰ বাকী আটাইবোৰ শূণ্য উলিওৱা



Maths